Ricostruzione tridimensionale della geometria sepolta del bacino della media valle dell’Aterno, area epicentrale del terremoto dell’Aquila del 2009 con metodi geofisici

Indagini sismiche ed elettromagnetiche, con approcci simili alle radiografie e alle TAC usate per la diagnostica del corpo umano, anche se a scale e risoluzioni molto diverse. Sono le metodologie utilizzate da un team di ricercatori dell’Istituto Nazionale di Geofisica e Vulcanologia (INGV) per caratterizzare la struttura geologica della media valle dell'Aterno (area epicentrale del terremoto del 6 aprile 2009 dell’Aquila). Risalgono all’immediato post-terremoto 2009 le molteplici attività condotte nel bacino della media valle dell’Aterno, volte al miglioramento della conoscenza del territorio abruzzese e dei terremoti che lo hanno colpito in passato e che potrebbero farlo in futuro. Nell’ambito del Progetto FIRB Abruzzo dell’INGV (http://progettoabruzzo.rm.ingv.it/) si è sviluppata una importante attività scientifica attraverso indagini geologiche, morfotettoniche, paleosismologiche e geofisiche volte all’identificazione e alla caratterizzazione delle faglie attive in superficie e alla comprensione del loro legame con la faglia principale responsabile del terremoto del 6 aprile.
Le indagini geofisiche, in particolare, sono finalizzate a definire la struttura del sottosuolo della media valle dell’Aterno, un importante bacino di origine tettonica lungo 20 km e largo fino a 7 km, poco studiato prima del terremoto. La definizione delle caratteristiche fisiche del sottosuolo in 3D (da poche decine ad alcune centinaia di metri), avviene attraverso l’elaborazione e la modellazione delle registrazioni delle risposte del terreno all'immissione di correnti, impulsi elettrici e vibrazioni, oppure delle misure di magnetismo o di vibrazioni sismiche naturali.

“Per l’occasione sono state integrate diverse metodologie di indagine (profili di sismica attiva, geoelettrica, vibrazioni sismiche ambientali, sondaggi profondi e superficiali, misure con metodi elettromagnetici (Time-domain electromagnetic method – TDEM), spiega il direttore della sezione Roma 1 dell’INGV, Daniela Pantosti, “che ci permettono di individuare l’interfaccia tra i depositi recenti incoerenti di riempimento (quaternari – da circa 2 milioni di anni fa ad oggi) e il substrato rigido carbonatico (Mesozoico/Cenozoico - da circa 200 a 5 milioni di anni fa) FIGURA 1.Tutte queste registrazioni, integrate con indagini geognostiche che consentono la taratura delle risposte che si ottengono con l'indagine geofisica, hanno permesso di ottenere un modello 3D della valle dell’Aterno a scale spaziali differenti”.
Ma perché è importante conoscere la struttura della Valle dell'Aterno? “Sono due i motivi principali: il primo è che le strutture superficiali tettoniche e i depositi più recenti raccontano la storia passata del bacino che può essere utile a capire la sua evoluzione futura e il relativo potenziale sismogenetico, stabilendo relazioni tra le strutture che osserviamo nelle ultime centinaia di metri con quella sismogenetica in profondità e individuando le zone soggette a fagliazione superficiale. L’altro motivo è che la geometria del bacino, lo spessore dei depositi di riempimento e le strutture tettoniche che lo attraversano influenzano fortemente la propagazione e l’amplificazione delle onde sismiche. Quindi la loro conoscenza è fondamentale per la riduzione degli effetti dei terremoti sul costruito”, continua Daniela Pantosti.

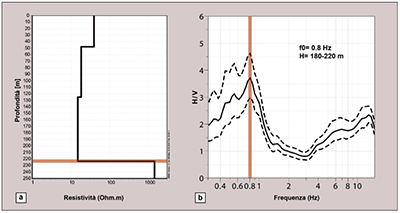
Per individuare l’interfaccia tra il substrato carbonatico e i depositi continentali quaternari di riempimento nella media valle dell’Aterno, tra quelle realizzate sono state selezionate in base alla qualità più di 50 misure TDEM e una novantina di misure di vibrazioni sismiche ambientali. La bassa qualità di alcune misure è legata alla presenza di infrastrutture industriali, sottoservizi ed elettrodotti nell’area di indagine. L’elaborazione e la modellazione di questi dati evidenzia una complessa geometria profonda del bacino, caratterizzato dalla presenza di due depocentri principali (aree di massima deposizione all'interno del bacino sedimentario) con profondità massime di circa 300 m (a sud dell’abitato di Paganica) e anche superiori a 500 m (sud-ovest di San Demetrio Ne’ Vestini), FIGURA 2. Questo suggerisce che la morfologia del bacino poco più di un milione di anni fa differiva molto da quella attuale, ed era formato da due bacini separati, che oggi, invece, appaiono in continuità.
A condurre principalmente le indagini geofisiche, i giovani ricercatori coinvolti nel progetto FIRB Abruzzo: Fabio Villani, Riccardo Civico, Giuseppe di Giulio, Vincenzo Sapia, Maurizio Vassallo, Paola Baccheschi Alessandra Smedile e Stefano Pucci.